-

-
聚類分析
來源:默認管理員點擊數:486發布時間:2012-12-101 基本概念:聚類分析(Cluster Analysis)又稱集群分析,是研究“物以類聚”的一種統計分析方法,是應用最為廣泛的分類技術。通過聚類分析,可以將性質相近的個體歸為一類,性質差異較大的個體屬于不同的類,使得類內個體具有較高的同質性,類間個體具有較高的異質性。
2 類型及統計量:聚類分析包括對觀測指標的聚類(常成為R型)聚類與觀察單位(常稱為Q)型聚類兩中類型。
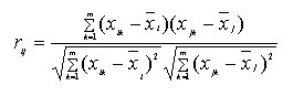
R型聚類,是針對指標聚類的主要方法,聚類統計量為相似系數,即皮爾遜相關系數(Pearson Correlation),公式為:

Q型聚類,是針對觀察單位(Cases)進行聚類的主要方法,聚類統計量常用歐氏距離(Euclidean Distance),公式為:

dij表示第i個觀察單位與第j個觀察單位的距離。
R型聚類常用的聚類統計量為相似系數,Q型聚類常用的統計量為歐氏距離。
3 應用示例
在對某城市的家電市場進行競爭分析時,以品牌知名度、占有率、滿意度等指標進行了聚類分析,結果見下圖,8個品牌大致可以分為3類,結果基本反映了市場的實際情況。
上一篇下一篇



